Tipo: Publicación
|
Publicado: Lun 26/01/2015
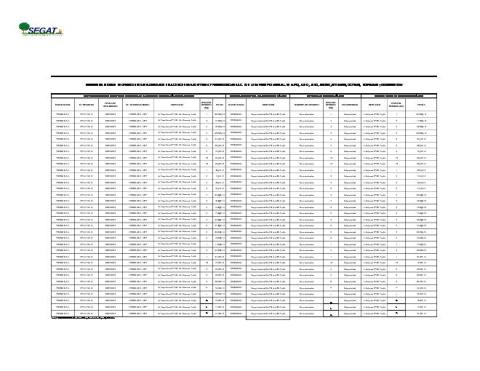
Resumen del Informe de Manifiesto de Residuos Sólidos Peligrosos de la Clínica de Salud Integral y Prevención CMG S.A.C correspondiente a los meses de Mayo, Junio, Julio, Agosto, Setiembre, Octubre, Noviembre y Diciembre del 2014
Servicio de Gestión Ambiental de Trujillo - SEGAT
Resumen del Informe de Manifiesto de Residuos Sólidos Peligrosos de la Clínica de Salud Integral y Prevención CMG S.A.C correspondiente a los meses de Mayo, Junio, Julio, Agosto, Setiembre, Octubre, Noviembre y Diciembre del 2014.
Los residuos sólidos que se generan en los establecimientos de salud, producto de las actividades asistenciales constituyen un peligro de daño para la salud de las personas si en circunstancias no deseadas la carga microbiana que contienen los residuos biocontaminado ingresa al organismo humano mediante vía respiratoria, digestiva o dérmica.
Etiquetas
Descriptores temáticos SINIA:
Ficha técnica
| Autor de la publicación |
Servicio de Gestión Ambiental de Trujillo - SEGAT
|
|---|---|
| País |
Perú
|
| Fecha de publicación | 2015-01-26 |
| ISBN |
----
|
| Repositorio de origen |
SIAL Trujillo
|
Recursos disponibles
| Archivo |
Archivo
PDF | 223.14 KB |
4423.pdf
|
No hay anotaciones adicionales disponibles.
Importante
El Sistema Nacional de Información Ambiental-SINIA, constituye una red de integración tecnológica, institucional y técnica que facilita la sistematización, acceso y distribución de la información ambiental, así como el uso e intercambio de información para los procesos de toma de decisiones y de la gestión ambiental (Art. 35°, Ley N°28611). En este sistema, la ciudadania y los tomadores de decisiones acceden a información técnica, acedémica y científica de distintos organismos públicos y privados sobre temas ambientales. Si bien este portal es administrado por el Ministerio del Ambiente, la información disponible en él no representa, necesariamente, la opinion oficial de la institución.
Metadatos Dublin Core
dc.title
Resumen del Informe de Manifiesto de Residuos Sólidos Peligrosos de la Clínica de Salud Integral y Prevención CMG S.A.C correspondiente a los meses de Mayo, Junio, Julio, Agosto, Setiembre, Octubre, Noviembre y Diciembre del 2014
dc.subject.sinia.old
residuos peligrosos, disposicion de residuos solidos, residuos hospitalarios
dc.description.abstract
Resumen del Informe de Manifiesto de Residuos Sólidos Peligrosos de la Clínica de Salud Integral y Prevención CMG S.A.C correspondiente a los meses de Mayo, Junio, Julio, Agosto, Setiembre, Octubre, Noviembre y Diciembre del 2014.
Los residuos sólidos que se generan en los establecimientos de salud, producto de las actividades asistenciales constituyen un peligro de daño para la salud de las personas si en circunstancias no deseadas la carga microbiana que contienen los residuos biocontaminado ingresa al organismo humano mediante vía respiratoria, digestiva o dérmica.
dc.description.repository
SIAL Trujillo
dc.contributor.author
Servicio de Gestión Ambiental de Trujillo - SEGAT
dc.publisher.country
PE
dc.date.issued
2015-01-26
dc.identifier.isbn
----
dc.identifier.url
http://sinia.drinux.com/sites/default/files/sial-sialtrujillo/archivos/public/docs/4423.pdf
Nota: Los metadatos Dublin Core son estándares internacionales para la descripción de recursos digitales. Los códigos entre
<code> representan valores normalizados (ISO, MIME types, etc.).