Compartir este contenido

Tipo:

Decreto Supremo

|

Publicado: Sáb 16/06/2018

Aprueban el Área de Conservación Regional Bosques Tropicales Estacionalmente Secos del Marañón

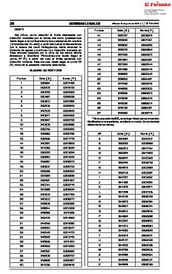
artículo 1.- Establecimiento del Área de Conservación regional Bosques Tropicales Estacionalmente Secos del marañón.- Establecer el Área de Conservación Regional Bosques
Tropicales Estacionalmente Secos del Marañón sobre la superficie de trece mil novecientos veintinueve hectáreas con mil doscientos metros cuadrados (13 929.12 ha),
ubicada en el distrito de Balsas, provincia de Chachapoyas y en los distritos de Cocabamba, Ocumal, Pisuquia y Providencia, provincia de Luya, del departamento de
Amazonas, delimitada de acuerdo al mapa detallado y la memoria descriptiva que contiene el listado de puntos,los mismos que como Anexos forman parte integrante del
presente Decreto Supremo.
 
artículo 2.- Objetivo del Área de Conservación regional Bosques Tropicales Estacionalmente Secos del marañón.- El objetivo del Área de Conservación Regional
Bosques Tropicales Estacionalmente Secos del Marañón es conservar la biodiversidad de los Bosques Tropicales .- Estacionalmente Secos del Marañón en la Región
Amazonas, como una zona biogeográfica única en el mundo, con un alto nivel de especies endémicas; para garantizar los procesos ecológicos, evolutivos y de
especiación de una de las biotas más importantes del país.
Etiquetas
Descriptores temáticos SINIA:
Ficha técnica
Tipo de norma
Decreto Supremo
Número de norma
006-2018-MINAM
Estado de norma
Vigente
Autor de la publicación
Ministerio del Ambiente - MINAM
Representante
Fecha de publicación 2018-06-16
Repositorio de origen
SIAR Amazonas
Recursos disponibles
Archivo
Archivo
PDF | 2.48 MB | decreto-supremo-q...
Importante
El Sistema Nacional de Información Ambiental-SINIA, constituye una red de integración tecnológica, institucional y técnica que facilita la sistematización, acceso y distribución de la información ambiental, así como el uso e intercambio de información para los procesos de toma de decisiones y de la gestión ambiental (Art. 35°, Ley N°28611). En este sistema, la ciudadania y los tomadores de decisiones acceden a información técnica, acedémica y científica de distintos organismos públicos y privados sobre temas ambientales. Si bien este portal es administrado por el Ministerio del Ambiente, la información disponible en él no representa, necesariamente, la opinion oficial de la institución.
Metadatos Dublin Core
dc.title
Aprueban el Área de Conservación Regional Bosques Tropicales Estacionalmente Secos del Marañón
dc.title.code
006-2018-MINAM
dc.subject.sinia.old
areas de conservacion regional
dc.description.abstract
artículo 1.- Establecimiento del Área de Conservación regional Bosques Tropicales Estacionalmente Secos del marañón.- Establecer el Área de Conservación Regional Bosques
Tropicales Estacionalmente Secos del Marañón sobre la superficie de trece mil novecientos veintinueve hectáreas con mil doscientos metros cuadrados (13 929.12 ha),
ubicada en el distrito de Balsas, provincia de Chachapoyas y en los distritos de Cocabamba, Ocumal, Pisuquia y Providencia, provincia de Luya, del departamento de
Amazonas, delimitada de acuerdo al mapa detallado y la memoria descriptiva que contiene el listado de puntos,los mismos que como Anexos forman parte integrante del
presente Decreto Supremo.
 
artículo 2.- Objetivo del Área de Conservación regional Bosques Tropicales Estacionalmente Secos del marañón.- El objetivo del Área de Conservación Regional
Bosques Tropicales Estacionalmente Secos del Marañón es conservar la biodiversidad de los Bosques Tropicales .- Estacionalmente Secos del Marañón en la Región
Amazonas, como una zona biogeográfica única en el mundo, con un alto nivel de especies endémicas; para garantizar los procesos ecológicos, evolutivos y de
especiación de una de las biotas más importantes del país.
dc.description.repository
SIAR Amazonas
dc.contributor.author
Ministerio del Ambiente - MINAM
dc.date.issued
2018-06-16
dc.identifier.url
http://sinia.drinux.com/sites/default/files/siar-amazonas/archivos/public/docs/decreto-supremo-que-establece-el-area-de-conservacion-region-decreto-supremo-n-006-2018-minam-1660608-5_1.pdf